本文最后更新于 704 天前,其中的信息可能已经过时,如有错误请发送邮件到wuxianglongblog@163.com
Theano 实例:更复杂的网络
import theano
import theano.tensor as T
import numpy as np
from load import mnist
from theano.sandbox.rng_mrg import MRG_RandomStreams as RandomStreams
srng = RandomStreams()
def floatX(X):
return np.asarray(X, dtype=theano.config.floatX)
Using gpu device 1: Tesla C2075 (CNMeM is disabled)
上一节我们用了一个简单的神经网络来训练 MNIST 数据,这次我们使用更复杂的网络来进行训练,同时加入 dropout 机制,防止过拟合。
这里采用比较简单的 dropout 机制,即将输入值按照一定的概率随机置零。
def dropout(X, prob=0.):
if prob > 0:
X *= srng.binomial(X.shape, p=1-prob, dtype = theano.config.floatX)
X /= 1 - prob
return X
之前我们采用的的激活函数是 sigmoid,现在我们使用 rectify 激活函数。
这可以使用 T.nnet.relu(x, alpha=0) 来实现,它本质上相当于:T.switch(x > 0, x, alpha * x),而 rectify 函数的定义为:

之前我们构造的是一个单隐层的神经网络结构,现在我们构造一个双隐层的结构即“输入-隐层1-隐层2-输出”的全连接结构。

Theano 自带的 T.nnet.softmax() 的 GPU 实现目前似乎有 bug 会导致梯度溢出的问题,因此自定义了 softmax 函数:
def softmax(X):
e_x = T.exp(X - X.max(axis=1).dimshuffle(0, 'x'))
return e_x / e_x.sum(axis=1).dimshuffle(0, 'x')
def model(X, w_h1, w_h2, w_o, p_drop_input, p_drop_hidden):
"""
input:
X: input data
w_h1: weights input layer to hidden layer 1
w_h2: weights hidden layer 1 to hidden layer 2
w_o: weights hidden layer 2 to output layer
p_drop_input: dropout rate for input layer
p_drop_hidden: dropout rate for hidden layer
output:
h1: hidden layer 1
h2: hidden layer 2
py_x: output layer
"""
X = dropout(X, p_drop_input)
h1 = T.nnet.relu(T.dot(X, w_h1))
h1 = dropout(h1, p_drop_hidden)
h2 = T.nnet.relu(T.dot(h1, w_h2))
h2 = dropout(h2, p_drop_hidden)
py_x = softmax(T.dot(h2, w_o))
return h1, h2, py_x
随机初始化权重矩阵:
def init_weights(shape):
return theano.shared(floatX(np.random.randn(*shape) * 0.01))
w_h1 = init_weights((784, 625))
w_h2 = init_weights((625, 625))
w_o = init_weights((625, 10))
定义变量:
X = T.matrix()
Y = T.matrix()
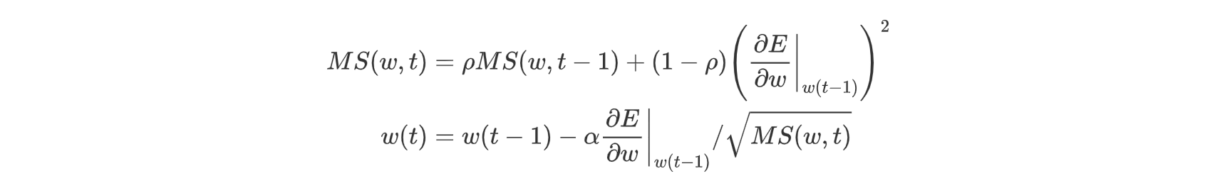
定义更新的规则,之前我们使用的是简单的 SGD,这次我们使用 RMSprop 来更新,其规则为:

def RMSprop(cost, params, accs, lr=0.001, rho=0.9, epsilon=1e-6):
grads = T.grad(cost=cost, wrt=params)
updates = []
for p, g, acc in zip(params, grads, accs):
acc_new = rho * acc + (1 - rho) * g ** 2
gradient_scaling = T.sqrt(acc_new + epsilon)
g = g / gradient_scaling
updates.append((acc, acc_new))
updates.append((p, p - lr * g))
return updates
训练函数:
# 有 dropout,用来训练
noise_h1, noise_h2, noise_py_x = model(X, w_h1, w_h2, w_o, 0.2, 0.5)
cost = T.mean(T.nnet.categorical_crossentropy(noise_py_x, Y))
params = [w_h1, w_h2, w_o]
accs = [theano.shared(p.get_value() * 0.) for p in params]
updates = RMSprop(cost, params, accs, lr=0.001)
# 训练函数
train = theano.function(inputs=[X, Y], outputs=cost, updates=updates, allow_input_downcast=True)
预测函数:
# 没有 dropout,用来预测
h1, h2, py_x = model(X, w_h1, w_h2, w_o, 0., 0.)
# 预测的结果
y_x = T.argmax(py_x, axis=1)
predict = theano.function(inputs=[X], outputs=y_x, allow_input_downcast=True)
训练:
trX, teX, trY, teY = mnist(onehot=True)
for i in range(50):
for start, end in zip(range(0, len(trX), 128), range(128, len(trX), 128)):
cost = train(trX[start:end], trY[start:end])
print "iter {:03d} accuracy:".format(i + 1), np.mean(np.argmax(teY, axis=1) == predict(teX))
iter 001 accuracy: 0.943
iter 002 accuracy: 0.9665
iter 003 accuracy: 0.9732
iter 004 accuracy: 0.9763
iter 005 accuracy: 0.9767
iter 006 accuracy: 0.9802
iter 007 accuracy: 0.9795
iter 008 accuracy: 0.979
iter 009 accuracy: 0.9807
iter 010 accuracy: 0.9805
iter 011 accuracy: 0.9824
iter 012 accuracy: 0.9816
iter 013 accuracy: 0.9838
iter 014 accuracy: 0.9846
iter 015 accuracy: 0.983
iter 016 accuracy: 0.9837
iter 017 accuracy: 0.9841
iter 018 accuracy: 0.9837
iter 019 accuracy: 0.9835
iter 020 accuracy: 0.9844
iter 021 accuracy: 0.9837
iter 022 accuracy: 0.9839
iter 023 accuracy: 0.984
iter 024 accuracy: 0.9851
iter 025 accuracy: 0.985
iter 026 accuracy: 0.9847
iter 027 accuracy: 0.9851
iter 028 accuracy: 0.9846
iter 029 accuracy: 0.9846
iter 030 accuracy: 0.9853
iter 031 accuracy: 0.985
iter 032 accuracy: 0.9844
iter 033 accuracy: 0.9849
iter 034 accuracy: 0.9845
iter 035 accuracy: 0.9848
iter 036 accuracy: 0.9868
iter 037 accuracy: 0.9864
iter 038 accuracy: 0.9866
iter 039 accuracy: 0.9859
iter 040 accuracy: 0.9857
iter 041 accuracy: 0.9853
iter 042 accuracy: 0.9855
iter 043 accuracy: 0.9861
iter 044 accuracy: 0.9865
iter 045 accuracy: 0.9872
iter 046 accuracy: 0.9867
iter 047 accuracy: 0.9868
iter 048 accuracy: 0.9863
iter 049 accuracy: 0.9862
iter 050 accuracy: 0.9856