本文最后更新于 704 天前,其中的信息可能已经过时,如有错误请发送邮件到wuxianglongblog@163.com
Theano tensor 模块:nnet 子模块
nnet 是 tensor 模块中与神经网络 Neural Networks 相关的子模块。
import theano
from theano import tensor as T
Using gpu device 1: Tesla C2075 (CNMeM is disabled)
Sigmoid 函数
共有三种 sigmoid:
T.nnet.sigmoid(x)T.nnet.ultra_sigmoid(x)T.nnet.hard_sigmoid(x)
精度和时间:
sigmoid > ultra_fast_sigmoid > hard_sigmoid
函数图像:
x, y, b = T.dvectors('x', 'y', 'b')
W = T.dmatrix('W')
y = T.nnet.sigmoid(T.dot(W, x) + b)
print theano.pprint(y)
sigmoid(((W \dot x) + b))
其他
T.nnet.softplus(x) 返回
$$\operatorname{softplus}(x) = \log_e{\left(1 + \exp(x)\right)}$$
会解决在 1 附近自定义函数值不准的问题。
x,y,b = T.dvectors('x','y','b')
W = T.dmatrix('W')
y = T.nnet.softplus(T.dot(W,x) + b)
print theano.pprint(y)
softplus(((W \dot x) + b))
T.nnet.softplus(x) 返回

当 softmax 作用到矩阵时,它会按照行进行计算。
不过,下面
的代码计算性能上更加稳定:
e_x = exp(x - x.max(axis=1, keepdims=True))
out = e_x / e_x.sum(axis=1, keepdims=True)
x,y,b = T.dvectors('x','y','b')
W = T.dmatrix('W')
y = T.nnet.softmax(T.dot(W,x) + b)
print theano.pprint(y)
Softmax(((W \dot x) + b))
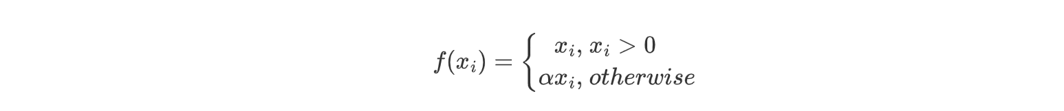
T.nnet.relu(x, alpha=0) 返回这样一个函数:

损失函数
T.nnet.binary_crossentropy(output, target) 二类交叉熵:

x, y, b, c = T.dvectors('x', 'y', 'b', 'c')
W = T.dmatrix('W')
V = T.dmatrix('V')
h = T.nnet.sigmoid(T.dot(W, x) + b)
x_recons = T.nnet.sigmoid(T.dot(V, h) + c)
recon_cost = T.nnet.binary_crossentropy(x_recons, x).mean()
T.nnet.categorical_crossentropy(coding_dist, true_dist) 多类交叉熵
