本文最后更新于 704 天前,其中的信息可能已经过时,如有错误请发送邮件到wuxianglongblog@163.com
Theano tensor 模块:操作符和逐元素操作
操作符
import theano
from theano import tensor as T
Using gpu device 1: Tesla C2075 (CNMeM is disabled)
tensor 类型支持很多基本的操作:
# 两个整形三维张量
a, b = T.itensor3("a"), T.itensor3("b")
算术操作
print theano.pp(a + 3) # T.add(a, 3) -> itensor3
print theano.pp(3 - a) # T.sub(3, a)
print theano.pp(a * 3.5) # T.mul(a, 3.5) -> ftensor3 or dtensor3 (depending on casting)
print theano.pp(2.2 / a) # T.truediv(2.2, a)
print theano.pp(2.2 // a) # T.intdiv(2.2, a)
print theano.pp(2.2**a) # T.pow(2.2, a)
print theano.pp(b % a) # T.mod(b, a)
(a + TensorConstant{3})
(TensorConstant{3} - a)
(a * TensorConstant{3.5})
(TensorConstant{2.20000004768} / a)
(TensorConstant{2.20000004768} // a)
(TensorConstant{2.20000004768} ** a)
mod(b, a)
比特操作
print theano.pp(a & b) # T.and_(a,b) bitwise and (alias T.bitwise_and)
print theano.pp(a ^ 1) # T.xor(a,1) bitwise xor (alias T.bitwise_xor)
print theano.pp(a | b) # T.or_(a,b) bitwise or (alias T.bitwise_or)
print theano.pp(~a) # T.invert(a) bitwise invert (alias T.bitwise_not)
and_(a, b)
xor(a, TensorConstant{1})
or_(a, b)
invert(a)
原地操作
Theano 不支持原地操作如 += 等,Theano 的图优化解构会自动决定是否使用原地操作。如果需要更新变量的值,可以考虑使用共享变量 theano.shared。
逐元素操作
类型转换
T.cast(x, dtype) 用于类型转换:
x = T.matrix()
x_as_int = T.cast(x, 'int32')
T.cast(x, dtype) 的机制与 numpy.asarray(x, dtype) 的机制类似,只有 dtype 不同时才会创建新的变量:
print x_as_int is x
print T.cast(x, theano.config.floatX) is x
False
True
复数取实部,虚部,角度,模:
T.real(a)T.imag(a)T.angle(a)T.abs_(a)
比较
Theano 的比较操作也是逐元素的:
T.lt(a, b): <T.gt(a, b): >T.le(a, b): <=T.ge(a, b): >=T.eq(a, b): ==T.neq(a, b): !=
Theano 中没有 bool 类型,所有的 bool 类型都用 int8 表示。
x, y = T.dmatrices('x','y')
print theano.pp(T.le(x, y))
le(x, y)
除此之外,还有另一些与 numpy 类似的用法:
T.isnan(a): 是否 NANT.isinf(a): 是否 INFT.isclose(a, b):浮点数是否接近T.allclose(a, b):浮点数是否很接近
条件
T.switch(cond, ift, iff) 选择 ift (if ture) 和 iff (if false)。
T.where(cond, ift, iff) 与 switch 一致。
T.clip(x, min, max) 低于 min 的部分变成 min,超过 max 的部分变成 max。
数学操作
a, b = T.matrices("a", "b")
print theano.pp(T.maximum(a, b)) # max(a, b)
print theano.pp(T.minimum(a, b)) # min(a, b)
print theano.pp(T.neg(a)) # -a
print theano.pp(T.inv(a)) # 1.0/a
print theano.pp(T.exp(a))
print theano.pp(T.log(a)), theano.pp(T.log2(a)), theano.pp(T.log10(a)) # log10(a)
print theano.pp(T.sgn(a)) # sgn(a)
print theano.pp(T.floor(a)) # floor(a)
print theano.pp(T.ceil(a)) # ceil(a)
print theano.pp(T.round(a)) # round(a)
print theano.pp(T.iround(a)) # iround(a)
print theano.pp(T.sqr(a)) # sqr(a)
print theano.pp(T.sqrt(a)) # sqrt(a)
print theano.pp(T.cos(a)), theano.pp(T.sin(a)), theano.pp(T.tan(a))
print theano.pp(T.cosh(a)), theano.pp(T.sinh(a)), theano.pp(T.tanh(a)) # tan(a)
print theano.pp(T.erf(a)), theano.pp(T.erfc(a)) # erf(a), erfc(a)
print theano.pp(T.erfinv(a)), theano.pp(T.erfcinv(a))
print theano.pp(T.gamma(a)) # gamma(a)
print theano.pp(T.gammaln(a)) # log(gamma(a))
print theano.pp(T.psi(a)) # digamma(a)
maximum(a, b)
minimum(a, b)
(-a)
inv(a)
exp(a)
log(a) log2(a) log10(a)
sgn(a)
floor(a)
ceil(a)
round_half_away_from_zero(a)
int64(round_half_away_from_zero(a))
sqr(a)
sqrt(a)
cos(a) sin(a) tan(a)
cosh(a) sinh(a) tanh(a)
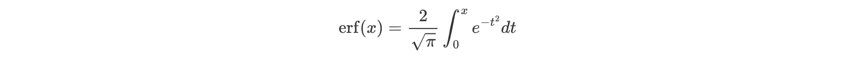
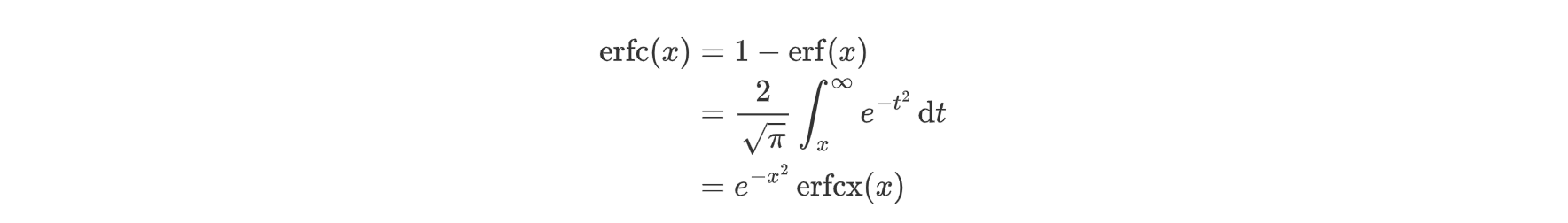
erf(a) erfc(a)
erfinv(a) erfcinv(a)
gamma(a)
gammaln(a)
psi(a)
其中 erf, erfc 定义如下:
https://en.wikipedia.org/wiki/Error_function


erfinv, erfcinv 为其反函数:1
https://en.wikipedia.org/wiki/Error_function#Inverse_functions
Broadcasting
线性代数
矩阵乘法:T.dot(x, y)
向量外积:T.outer(x, y)
张量乘法:tensordot(a, b, axes=2)
axes 参数表示 a b 对应要去掉的维度。
import numpy as np
a = np.random.random((2,3,4))
b = np.random.random((5,6,4,3))
#tensordot
c = np.tensordot(a, b, [[1,2],[3,2]])
#loop replicating tensordot
a0, a1, a2 = a.shape
b0, b1, _, _ = b.shape
cloop = np.zeros((a0,b0,b1))
#loop over non-summed indices -- these exist
#in the tensor product.
for i in range(a0):
for j in range(b0):
for k in range(b1):
#loop over summed indices -- these don't exist
#in the tensor product.
for l in range(a1):
for m in range(a2):
cloop[i,j,k] += a[i,l,m] * b[j,k,m,l]
assert np.allclose(c, cloop)
print a.shape, b.shape
print c.shape
(2, 3, 4) (5, 6, 4, 3)
(2, 5, 6)