数据结构
1.数据结构有什么用
当你用着java里面的容器类很爽的时候,你有没有想过,怎么ArrayList就像一个无限扩充的数组,也好像链表之类的。好用吗?好用,这就是数据结构的用处,只不过你在不知不觉中使用了。
现实世界的存储,我们使用的工具和建模。每种数据结构有自己的优点和缺点,想想如果Google的数据用的是数组的存储,我们还能方便地查询到所需要的数据吗?而算法,在这么多的数据中如何做到最快的插入,查找,删除,也是在追求更快。
java是面向对象的语言,就好似自动档轿车,C语言好似手动档吉普。数据结构呢?是变速箱的工作原理。你完全可以不知道变速箱怎样工作,就把自动档的车子从 A点 开到 B点,而且未必就比懂得的人慢。写程序这件事,和开车一样,经验可以起到很大作用,但如果你不知道底层是怎么工作的,就永远只能开车,既不会修车,也不能造车。当然了,数据结构内容比较多,细细的学起来也是相对费功夫的,不可能达到一蹴而就。我们将常见的数据结构:堆栈、队列、数组、链表和红黑树 这几种给大家介绍一下,作为数据结构的入门,了解一下它们的特点即可。
2.常见的数据结构
数据存储的常用结构有:栈、队列、数组、链表和红黑树。我们分别来了解一下:
栈
- 栈:stack,又称堆栈,它是运算受限的线性表,其限制是仅允许在标的一端进行插入和删除操作,不允许在其他任何位置进行添加、查找、删除等操作。
简单的说:采用该结构的集合,对元素的存取有如下的特点
-
先进后出(即,存进去的元素,要在后它后面的元素依次取出后,才能取出该元素)。例如,子弹压进弹夹,先压进去的子弹在下面,后压进去的子弹在上面,当开枪时,先弹出上面的子弹,然后才能弹出下面的子弹。
-
栈的入口、出口的都是栈的顶端位置。
这里两个名词需要注意:
- 压栈:就是存元素。即,把元素存储到栈的顶端位置,栈中已有元素依次向栈底方向移动一个位置。
- 弹栈:就是取元素。即,把栈的顶端位置元素取出,栈中已有元素依次向栈顶方向移动一个位置。
队列
- 队列:queue,简称队,它同堆栈一样,也是一种运算受限的线性表,其限制是仅允许在表的一端进行插入,而在表的另一端进行删除。
简单的说,采用该结构的集合,对元素的存取有如下的特点:
- 先进先出(即,存进去的元素,要在后它前面的元素依次取出后,才能取出该元素)。例如,小火车过山洞,车头先进去,车尾后进去;车头先出来,车尾后出来。
- 队列的入口、出口各占一侧。例如,下图中的左侧为入口,右侧为出口。

数组
- 数组:Array,是有序的元素序列,数组是在内存中开辟一段连续的空间,并在此空间存放元素。就像是一排出租屋,有100个房间,从001到100每个房间都有固定编号,通过编号就可以快速找到租房子的人。
简单的说,采用该结构的集合,对元素的存取有如下的特点:
-
查找元素快:通过索引,可以快速访问指定位置的元素
-
增删元素慢
-
指定索引位置增加元素:需要创建一个新数组,将指定新元素存储在指定索引位置,再把原数组元素根据索引,复制到新数组对应索引的位置。
-
指定索引位置删除元素:需要创建一个新数组,把原数组元素根据索引,复制到新数组对应索引的位置,原数组中指定索引位置元素不复制到新数组中。如下图
链表
-
链表:linked list,由一系列结点node(链表中每一个元素称为结点)组成,结点可以在运行时动态生成。每个结点包括两个部分:一个是存储数据元素的数据域,另一个是存储下一个结点地址的指针域。我们常说的链表结构有单向链表与双向链表,那么这里给大家介绍的是单向链表。
简单的说,采用该结构的集合,对元素的存取有如下的特点:
-
多个结点之间,通过地址进行连接。例如,多个人手拉手,每个人使用自己的右手拉住下个人的左手,依次类推,这样多个人就连在一起了。
-
查找元素慢:想查找某个元素,需要通过连接的节点,依次向后查找指定元素
-
增删元素快:
- 增加元素:只需要修改连接下个元素的地址即可。
-
删除元素:只需要修改连接下个元素的地址即可。
-
红黑树
- 二叉树:binary tree ,是每个结点不超过2的有序树(tree) 。
简单的理解,就是一种类似于我们生活中树的结构,只不过每个结点上都最多只能有两个子结点。
二叉树是每个节点最多有两个子树的树结构。顶上的叫根结点,两边被称作“左子树”和“右子树”。
如图:

我们要说的是二叉树的一种比较有意思的叫做红黑树,红黑树本身就是一颗二叉查找树,将节点插入后,该树仍然是一颗二叉查找树。也就意味着,树的键值仍然是有序的。
红黑树的约束:
- 节点可以是红色的或者黑色的
- 根节点是黑色的
- 叶子节点(特指空节点)是黑色的
- 每个红色节点的子节点都是黑色的
- 任何一个节点到其每一个叶子节点的所有路径上黑色节点数相同
红黑树的特点:
速度特别快,趋近平衡树,查找叶子元素最少和最多次数不多于二倍
3.树基本结构介绍
树具有的特点:
-
每一个节点有零个或者多个子节点
-
没有父节点的节点称之为根节点,一个树最多有一个根节点。
-
每一个非根节点有且只有一个父节点
| 名词 | 含义 |
|---|---|
| 节点 | 指树中的一个元素 |
| 节点的度 | 节点拥有的子树的个数,二叉树的度不大于2 |
| 叶子节点 | 度为0的节点,也称之为终端结点 |
| 高度 | 叶子结点的高度为1,叶子结点的父节点高度为2,以此类推,根节点的高度最高 |
| 层 | 根节点在第一层,以此类推 |
| 父节点 | 若一个节点含有子节点,则这个节点称之为其子节点的父节点 |
| 子节点 | 子节点是父节点的下一层节点 |
| 兄弟节点 | 拥有共同父节点的节点互称为兄弟节点 |
二叉树
如果树中的每个节点的子节点的个数不超过2,那么该树就是一个二叉树。

二叉查找树/二叉排序树
二叉查找树的特点:
- 左子树上所有的节点的值均小于等于他的根节点的值
- 右子树上所有的节点值均大于或者等于他的根节点的值
- 每一个子节点最多有两个子树
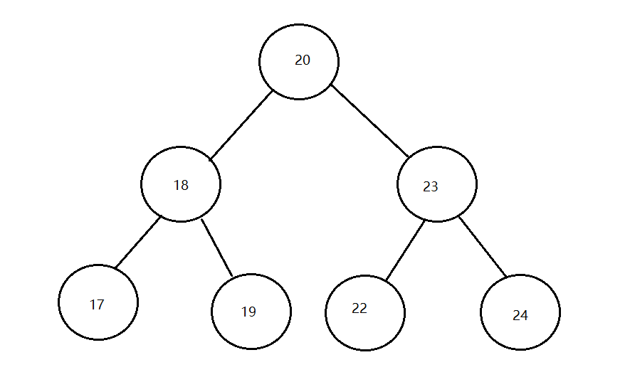
案例演示(20,18,23,22,17,24,19)数据的存储过程;

增删改查的性能都很高!!!
遍历获取元素的时候可以按照"左中右"的顺序进行遍历;
注意:二叉查找树存在的问题:会出现"瘸子"的现象,影响查询效率。

平衡二叉树
(基于查找二叉树,但是让树不要太高,尽量让树的元素均衡分布。这样综合性能就高了)
概述
为了避免出现"瘸子"的现象,减少树的高度,提高我们的搜素效率,又存在一种树的结构:"平衡二叉树"
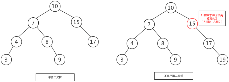
规则:它的左右两个子树的高度差的绝对值不超过1,并且左右两个子树都是一棵平衡二叉树
如下图所示:

如下图所示,左图是一棵平衡二叉树,根节点10,左右两子树的高度差是1,而右图,虽然根节点左右两子树高度差是0,但是右子树15的左右子树高度差为2,不符合定义,
所以右图不是一棵平衡二叉树。
旋转
在构建一棵平衡二叉树的过程中,当有新的节点要插入时,检查是否因插入后而破坏了树的平衡,如果是,则需要做旋转去改变树的结构。
左旋:
左旋就是将节点的右支往左拉,右子节点变成父节点,并把晋升之后多余的左子节点出让给降级节点的右子节点;

右旋:
将节点的左支往右拉,左子节点变成了父节点,并把晋升之后多余的右子节点出让给降级节点的左子节点

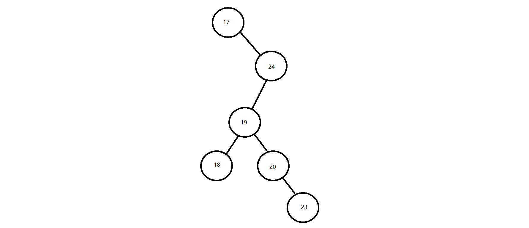
举个例子,像上图是否平衡二叉树的图里面,左图在没插入前"19"节点前,该树还是平衡二叉树,但是在插入"19"后,导致了"15"的左右子树失去了"平衡",
所以此时可以将"15"节点进行左旋,让"15"自身把节点出让给"17"作为"17"的左树,使得"17"节点左右子树平衡,而"15"节点没有子树,左右也平衡了。如下图,

由于在构建平衡二叉树的时候,当有新节点插入时,都会判断插入后时候平衡,这说明了插入新节点前,都是平衡的,也即高度差绝对值不会超过1。当新节点插入后,
有可能会有导致树不平衡,这时候就需要进行调整,而可能出现的情况就有4种,分别称作左左,左右,右左,右右。
左左
左左即为在原来平衡的二叉树上,在节点的左子树的左子树下,有新节点插入,导致节点的左右子树的高度差为2,如下即为"10"节点的左子树"7"的左子树"4",插入了节点"5"或"3"导致失衡。

左左调整其实比较简单,只需要对节点进行右旋即可,如下图,对节点"10"进行右旋,


左右
左右即为在原来平衡的二叉树上,在节点的左子树的右子树下,有新节点插入,导致节点的左右子树的高度差为2,如上即为"11"节点的左子树"7"的右子树"9",
插入了节点"10"或"8"导致失衡。

左右的调整就不能像左左一样,进行一次旋转就完成调整。我们不妨先试着让左右像左左一样对"11"节点进行右旋,结果图如下,右图的二叉树依然不平衡,而右图就是接下来要
讲的右左,即左右跟右左互为镜像,左左跟右右也互为镜像。

左右这种情况,进行一次旋转是不能满足我们的条件的,正确的调整方式是,将左右进行第一次旋转,将左右先调整成左左,然后再对左左进行调整,从而使得二叉树平衡。
即先对上图的节点"7"进行左旋,使得二叉树变成了左左,之后再对"11"节点进行右旋,此时二叉树就调整完成,如下图:

右左
右左即为在原来平衡的二叉树上,在节点的右子树的左子树下,有新节点插入,导致节点的左右子树的高度差为2,如上即为"11"节点的右子树"15"的左子树"13",
插入了节点"12"或"14"导致失衡。

前面也说了,右左跟左右其实互为镜像,所以调整过程就反过来,先对节点"15"进行右旋,使得二叉树变成右右,之后再对"11"节点进行左旋,此时二叉树就调整完成,如下图:

右右
右右即为在原来平衡的二叉树上,在节点的右子树的右子树下,有新节点插入,导致节点的左右子树的高度差为2,如下即为"11"节点的右子树"13",的左子树"15",插入了节点
"14"或"19"导致失衡。

右右只需对节点进行一次左旋即可调整平衡,如下图,对"11"节点进行左旋。

红黑树
就是平衡的二叉查找树!!
概述
红黑树是一种自平衡的二叉查找树,是计算机科学中用到的一种数据结构,它是在1972年由Rudolf Bayer发明的,当时被称之为平衡二叉B树,后来,在1978年被Leoj.Guibas和Robert Sedgewick修改为如今的"红黑树"。它是一种特殊的二叉查找树,红黑树的每一个节点上都有存储位表示节点的颜色,可以是红或者黑;
红黑树不是高度平衡的,它的平衡是通过"红黑树的特性"进行实现的;
红黑树的特性:
- 每一个节点或是红色的,或者是黑色的。
- 根节点必须是黑色
- 每个叶节点(Nil)是黑色的;(如果一个节点没有子节点或者父节点,则该节点相应的指针属性值为Nil,这些Nil视为叶节点)
- 如果某一个节点是红色,那么它的子节点必须是黑色(不能出现两个红色节点相连的情况)
- 对每一个节点,从该节点到其所有后代叶节点的简单路径上,均包含相同数目的黑色节点;
如下图所示就是一个

在进行元素插入的时候,和之前一样; 每一次插入完毕以后,使用黑色规则进行校验,如果不满足红黑规则,就需要通过变色,左旋和右旋来调整树,使其满足红黑规则;








